| Sign In | Join Free | My benadorassociates.com |
|
Brand Name : /
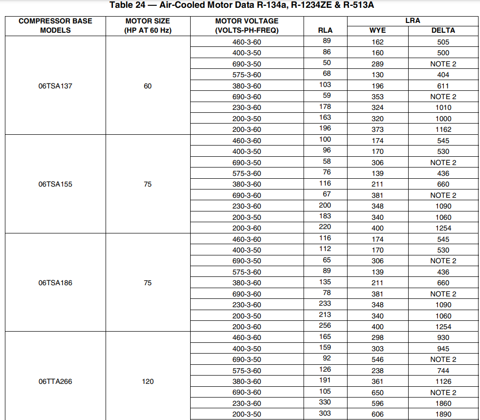
Model Number : 06TTA266
Certification : CE
Place of Origin : China
MOQ : 1
Price : Discussed
Payment Terms : T/T, Western Union
Supply Ability : 100PC
Delivery Time : 1 MONTH
Packaging Details : WOODEN CASE
Name : Screw Refrigeration Machine
Type : Semi-hermetic Compressor
Voltage 1 : 200/400/690V-3-50Hz
Voltage 2 : 230/380/460/575/690V-3-60Hz
Refrigerant : R134a/R513A
Application : Air Cooling
Service : Original
HP : 120
Motor : 06TTA266
Net Weight : 1068kg
06TTA266 120HP Carlyle Screw Refrigeration Air Cooling Semi Hermetic Compressor R134a Descrition
1. Product Specification
| Model | 06TTA266 |
| Refrigerant | R134a/R513A |
| HP | 120 |
| Power supply [V/~/Hz ] | 200/400/690V-3-50Hz 230/380/460/575/690V-3-60Hz |
| MOQ | 1 |
2.Product feature
Unparalleled performance
·35-550RTon (50Hz, without economizer)
·Refrigerants such as R134a/R22/R404A/R407C/R507/R448A/R449A
·Air conditioning or refrigeration conditions
·Efficient patented geometric line design
·World-leading processing technology
Perfect load matching
·Stepless energy regulation 100%~15%
·Vi optimization at partial load
·Simple dual solenoid valve control
Reliable SKF or NSK rolling bearings
·Good seals reduce loads
·Long life, no inspection or replacement required during maintenance
·Powerful thrust bearing design
·No oil pump required
Superior quality and reliability
·100% factory tested
·Fewer parts - less chance of breakage and downtime
·“33-point” process inspection
3. Production details



Shenzhen Ruifujie Technology Co., Ltd. has a history of more than 20 years. It is a large-scale modern enterprise specializing in R&D, production and sales of refrigeration products. The company has great advantages in the trading of compressors and refrigeration accessories, and has close cooperation with major compressor manufacturers around the world.
The company develops and produces scroll, piston and screw compressor are exported to all over the world. We have strong technical strength and experience in cold storage, freezing, quick freezing, and flake ice machine, block ice machine production and sales. In recent years, the company has been in the Belt and Road. Under the advocacy of the project, we constantly tackled difficulties in overseas markets, developed rapidly, and built a number of engineering projects with modern significance.
The company has achieved breakthrough development in after-sales service, design, installation, maintenance and technical consulting, and has established long-term close cooperation with many countries around the world.
Based on the tenet of “Devotion, Integrity, Innovation, Dedication”, We will continue to provide Highest quality products for new and old customers.


4.Product qualification
Certificate, certification, patent certificate:
1)."Quality Management System Certification"
2)."Shenzhen Science and Technology Enterprise Certification"
3)."Refrigeration Equipment Air Conditioning Maintenance and Installation Enterprise Qualification Certificate"
5.FAQ
Q: Can we use our own logo?
A: Yes, we can print your private logo according to your request.
Q:What is the packaging and shipping method?
A:By Sea: Export wooden package,with refrigerant oil.
By Air: Full-sealed wooden package, without refrigerant oil.
Q:Which port does you ship from?
A:Guangzhou/Shenzhen.
Q: When can I get the price?
A: Usually we quote within 8 hours after we get your inquiry.
Q: What's your MOQ?
A: If we have the products in stock, it will be no MOQ. If we need to produce,
we can discuss the MOQ according to customer's exact situation.
Q: What is your term of payment?
A: 30% down payment before producing and 70% balance payment before shipping.
Q:What is the term of payment?
A:T/T, Western Union.
|
|
06TTA266 120HP Carlyle Screw Refrigeration Air Cooling Semi Hermetic Compressor R134a Images |